Antroji dalis. VERSLO ĮMONĖS IR JŲ VALDYMAS

2.3. GAMYBINĖ VEIKLA

Gamybos proceso samprata

Automatikos ir informatikos pažanga iš pagrindų pakeitė gamybos valdymo sampratą. Pakito požiūris į visas gamybos proceso dalis:

  1. mašinų veikimą;
  2. kokybės kontrolę;
  3. žaliavų ir medžiagų bei gatavų produktų sandėliavimą ir nebaigtą gamybą;
  4. produkto sampratą;
  5. gamybos specializaciją ir kooperaciją;
  6. gamybos valdymo sistemas.

Produkto gamybos procesas

Produkto gamybos procesas - tai operacijų, atliekamų tam tikru nuoseklumu, visuma. Pagrindinis gamybos proceso veiksnys yra darbas. Be jo dar gali būti natūralūs gamybos procesai (rauginimas, sendinimas ir pan.). Jų metu keičiasi produkto fizinės ir cheminės savybės nedalyvaujant žmogui.

Technologijos schema

Gamybinio proceso operacijų vaizdavimui naudojami sutartiniai ženklai (4.1 pav.).

 

4.1 pav. Operacijų vaizdavimo ženklai

Naudodami šiuos ženklus, galime gauti tikslią paties sudėtingiausio proceso eigą, arba - technologijos schemą. Technologijos schemos praverčia įvairiems gamybos proceso parametrų skaičiavimams. Pavyzdžiui, norint sužinoti, kiek laiko (dienų, valandų) trunka produkto gamyba bei atskiros jos fazės, pati gamyba, kontrolė ar transportavimas ir t.t.; kiek reikia darbininkų, įrengimų, įrankių ar medžiagų; kur susikaupia nebaigtos gamybos atsargos ir pan. Be produkto gamybos proceso, reikia skirti procesą, vykstantį darbo vietoje (prie įrengimo) ir tam tikrame gamybos bare, skyriuje, ceche (4.2 pav.).

Gamybos ląstelės

Gamybos organizavimo teorijoje skiriamos:

  1. Nulinio lygio gamybos ląstelės - tai  darbo vietos. Darbo vietoje susijungia visi trys gamybos veiksniai - medžiaga, iš kurios daromas produktas, įrengimai ir įrankiai bei juos valdantis žmogus (pasak ekonomisto teoretiko, darbo jėga). Darbo vietos 4.2 pav.  pažymėtos stačiakampiais.
  2. Pirmojo lygio ląstelės, jungiančios grupę technologiškai susietų darbo vietų (nulinių ląstelių). Tai dažniausiai atskiri barai. 4.2 paveiksle pažymėta didesniais stačiakampiais ir raidėmis GL; pirmasis skaičius rodo ląstelės eilės numerį, antrasis (1) - pirmąjį lygį.
  3. Antrojo lygio ląstelės (mūsų pavyzdyje tai - GL12), jungiančios pirmojo lygio ląsteles GL11, GL21 ir GL31.
  4. Trečiojo ir aukštesniojo lygio ląstelės, jungiančios antrojo lygio ląsteles ir t.t. Kiek tų lygių yra, priklauso nuo daugelio veiksnių, kurių mes čia aptarti neturime galimybės.

 

4.2 pav. Gamybos ląstelių grupavimas

Gamybos proceso organizavimo formos

Gamybos proceso organizavimo forma priklauso nuo to, kaip apdorojamasis produktas perduodamas iš vienos darbo vietos į kitą. Plačiausiai paplitusios dvi formos:

  1. pertraukinė (cechinė),
  2. srovinė.

Pertraukinė (cechinė forma) būna tada, kai atlikus dalį operacijų pusgaminiai perduodami į tarpinius sandėlius, o vėliau operacijos tęsiamos (4.3 pav.)

Šios gamybos proceso organizavimo formos trūkumai: 1) ištęstas gamybinis ciklas; 2) per dideli gamybos ir sandėlių plotai; 3) reikia daug transporto operacijų, įšaldoma daug lėšų atsargose.

 

4.3 pav. Pertraukinės gamybos organizavimas

Tačiau yra vienas esminis privalumas : galima greitai paleisti naują gaminį, prisitaikyti prie sparčiai kintančios paklausos. Tai tinka mažoms įmonėms, nedidelėms gaminių partijoms ar atskiriems užsakymams. Dėl to tokia gamyba dažnai vadinama vienetine. Pertraukinė gamybos organizavimo forma užtikrina tokių įmonėlių gyvybingumą.

Srovinėje gamyboje darbo objektas tam tikra tvarka nenutrūkstamai perkeliamas iš vienos darbo vietos į kitą.

 

4.4 pav. Srovinės gamybos proceso eiga

Kaip tai galima pasiekti?

  1. Gamybos procesas suskaidomas į lygias arba kartotines pagal darbo imlumą operacijas. Operacijų lygybė arba kartotinumas (sinchroniškumas) yra gamybos nenutrūkstamumo prielaida.
  2. Operacijos priskiriamos tam tikroms darbo vietoms, o darbo vietos išdėstomos grandine pagal technologijos proceso eigą arba, kitaip tariant, taip, kaip turi judėti apdorojamasis produktas.
  3. Operacijos atliekamos lygiagrečiai visose arba keliose darbo vietose, ir tada daug kartų sutrumpėja gamybos ciklas. Pavyzdžiui, lengvieji automobiliai nurieda nuo konvejerio kas 2 - 3 minutes.
  4. Detalės ir gaminiai iš vienos operacijos į kitą perduodami nenutrūkstamai, o tam reikia specialaus tarpoperacinio transporto, kuris gabena darbo objektus ir palaiko nustatytą gamybos ritmą. Vadinasi, gamybos srovė gerai tinka masinei gamybai ar gamybai didelėmis gaminių serijomis, nes čia naudojami brangūs ir labai našūs įrengimai, o suderinti juos ar pertvarkyti kitam produktui nelengva.

Srovinei gamybai organizuoti reikalingos tam tikros prielaidos: pakankamai didelė gamybos apimtis, stabili produkcijos nomenklatūra (ilgai gaminami tie patys produktai), stabili gaminio konstrukcija ir detalių pakeičiamumas, pažangi technologija, tobulas gamybos ir darbo organizavimas.

Nomenklatūra - tai įmonės gaminamų produktų sąrašas

Srovinė gamyba dar skirstoma pagal darbo vietų specializacijos laipsnį ir gamybos apimtis į masinę ir serijinę.

Masinės gamybos įmonės ilgą laiką ir dideliais kiekiais gamina vieno tipo gaminius. Šiam tipui priskiriamos automobilių, traktorių, televizorių bei radijo aparatūros gamyklos, kai kurie maisto ir lengvosios pramonės fabrikai.

Serijinės gamybos įmonėje produkcijos nomenklatūra siauresnė ir dažniau keičiama. Gaminiai leidžiami partijomis, o tai reiškia, kad vienų pradėtas gaminti produktų skaičius baigiamas, o po to gaminama kitų gaminių partija. Serijinė gamyba paplitusi siuvimo, avalynės, baldų, mašinų gamybos įmonėse.

Masinė ir serijinė gamyba gerokai atpigina produktus, atsiranda galimybė juos įsigyti net nedideles pajamas turintiems vartotojams.

Pagalbinė gamyba

Neabejotina, kad pagrindinis gamybos procesas sudaro įmonės esmę. Tačiau joks gamybos procesas negali vykti vienas be pagalbinės gamybos ir jos aptarnavimo. Šių padalinių dydis, skaičius, įvairovė priklauso nuo pagrindinių procesų specifikos bei gamybos masto. Tačiau visur yra energetinis ūkis, vidinis transportas, remonto tarnybos, sandėliai bei kiti padaliniai. Mašinų gamybos įmonės dar turi įrankių ūkį. Pagalbinės tarnybos turi pašalinti įvairius mašinų gedimus, užtikrinti nepertraukiamą elektros energijos, dujų, suslėgto oro, vandens tiekimą, tinkamai prižiūrėti pastatus, įmonių teritoriją.

Gamybos ciklas ir operacijų derinimas

Nepriklausomai nuo to, kokia būtų gamyba - pertraukinė ar srovinė, gaminio konstrukcija ir technologija nulemia, kokiu nuoseklumu turi vykti operacijos. Tačiau kiek truks ir kiek kainuos gamyba labai priklauso nuo to, kaip vadovai sugeba organizuoti gamybos procesą. Vienas pagrindinių gamybos proceso kokybės rodiklių yra gamybos ciklo trukmė. 

Gamybos ciklas

Gamybos ciklu vadinamas laiko tarpas nuo žaliavos arba medžiagos paleidimo į gamybą momento iki visiško gatavos produkcijos pagaminimo ir jos perdavimo į sandėlį.

Paprastai į ciklą įtraukiami visi procesai, taip pat ir produkcijos išsiuntimas. Gali būti nustatomas atskiro gaminio, mazgo arba atskiros detalės gamybos ciklas.

Ciklas susideda iš darbo periodo ir pertraukų laiko.

Į darbo periodą įeina technologijos operacijų, paruošiamųjų, baigiamųjų darbų, natūralių procesų, techninės kontrolės ir produkto transportavimo apdorojimo laikas.

Pertraukų laiką sudaro pertraukos tarp pamainų ir tarpoperacinių laukimų laikas tais atvejais, kai įrengimai apkrauti kitais darbais.

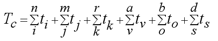
Apibendrintai gamybos ciklą Tc (paromis ar valandomis) galima išreikšti šia formule:

  

 (4.1)

kur

ti — technologijos operacijos;

tj — natūralių (gamtinių) procesų trukmė;

tk — techninės kontrolės trukmė;

tv — transportavimo laikas;

to — tarpoperacinio laukimo pamainos metu trukmė;

ts — pusfabrikačių buvimo tarpcechiniuose sandėliuose trukmė,

n, m, r, a, b, d – atitinkamai technologijos, natūralių, kontrolės, transporto operacijų, laukimo ir sandėliavimo pertraukų skaičius.

Paprastai techninės kontrolės laiką ir transportavimo laiką padengia tarpoperacinio laukimo laikas. Todėl, apskaičiuojant gamybos ciklą, imama tik ta kontrolės ir transportavimo laiko dalis, kuri nepadengiama.

Ciklo trukmė priklauso nuo dirbinių gaminimo sudėtingumo ir darbo imlumo, nuo technikos ir technologijos lygio, pagrindinių ir pagalbinių operacijų mechanizavimo bei automatizavimo ar robotizavimo lygio.

Gamybos ciklo trukmei apskaičiuoti reikalingi šie duomenys:

  1. technologijos proceso planas, rodantis, kurias gamybos proceso fazes darbo objektas perėjo ir koks įrengimų planinis našumas;
  2. pusfabrikačių pareikalavimas produkto vienetui pagaminti (100 kg verpalų, 100 m audinių ir pan.);
  3. transporto operacijų trukmė tarp cechų ir jų viduje;
  4. kontrolės operacijų trukmė;
  5. natūralių procesų trukmė;
  6. tarpoperacinio laukimo ir sandėliavimo laiko normatyvai.

Pavyzdžiui, medvilninių audinių gamybos ciklo trukmė (dienomis): marginta flanelė - 13, margintas kartūnas - 10, baltintas satinas - 7, marlė - 2.

Gamybos ciklo trukmė gali būti sumažinta dviem būdais: a) tobulinant techniką bei technologiją, b) gerinant gamybos organizavimą.

Tobulindami techniką, sutrumpiname technologijos operacijų laiką, o natūralius procesus pakeičiame trumpesniais dirbtiniais technologijos procesais. Gamybos proceso tobulinimas leidžia trumpinti gamybos proceso pertraukas.

Pertraukos skirstomos į dvi grupes. Pirmosios grupės pertraukos, susijusios su įmonės darbo režimu, o antrosios - tarpoperacinės pertraukos, susietos su gamybos organizavimu ir operacijų derinimu.

Vienas iš gamybos ciklo trumpinimo būdų yra visų arba daugelio operacijų vykdymas vienu metu. Operacijos gali būti derinamos:

  1. nuosekliai,
  2. lygiagrečiai
  3. mišriai.

Nuoseklus operacijų derinimas

Nuoseklus operacijų derinimas - kai kiekvienoje operacijoje apdorojama visa detalių partija.

Tolesnei operacijai detalių partija pradedama perduoti tik baigus apdoroti visas ankstesnės operacijos detales.

Detalių apdorojimo technologijos operacijų trukmė (neskaičiuojant jų gulėjimo tarp darbo vietų ir transporto trukmės), naudojant šią judėjimo rūšį, lygi vienos detalės apdorojimo visose operacijose laikui, padaugintam iš detalių skaičiaus partijoje. Nuosekliai derinant operacijas, įrengimai derinami dažniausiai kiekvieną kartą, kai leidžiama kitų detalių partija. Detalės guli priešais kiekvieną darbo vietą, todėl čia palyginti dideli įdirbiai.

Gamybos ciklas Tc nuoseklaus operacijų derinimo atveju apskaičiuojamas pagal šią formulę:

 

  (4.2)

čia ti - detalės apdorojimo operacijos trukmė,

N - detalių skaičius partijoje,

n - detalių apdorojimo operacijų skaičius.

Išnagrinėkime konkretų ciklo trukmės apskaičiavimo pavyzdį.

Tarkime, apdirbama trijų detalių partija, atliekant penkias operacijas. Bendras vienetinis laikas - 30 min, iš kurių pirmai operacijai tenka 7 min, antrai - 3, trečiai - 9, ketvirtai - 5 ir penktai - 6 min.

Šiomis sąlygomis detalių partijos gamybos ciklo trukmė bus tokia:

 

arba vienetiniam vienos detalės apdorojimo visose operacijose laikui 30 min, padaugintam iš detalių skaičiaus partijoje, lygaus 3.

Lygiagretus operacijų derinimas

Lygiagrečiai derinant operacijas, detalės vienu metu apdorojamos visose operacijose.

Todėl gamybos ciklo technologijos dalies trukmė Tc, lygiagrečiai derinant operacijas, gali būti nustatyta pagal šią formulę:

 

 (4.3)

kur

tg — ilgiausiai trunkančios operacijos atlikimo laikas (tg =9).

Įrašę į formulę skaičius, gauname:

 

Apskaičiavimai rodo, kad gamybos ciklo technologijos dalies trukmė, šitokiu būdu derinant operacijas, yra mažesnė, negu nuosekliai derinant operacijas. Tačiau atskirose operacijose dėl nevienodos jų trukmės prastovi darbininkai ir įrengimai. Tai rodo, kad lygiagretus operacijų derinimas labai efektyvus, kai atskirų operacijų trukmė yra viena kitai kartotinė — sukuriama sinchronizuota srovė. Kitais atvejais šis būdas ne visada racionalus. Todėl dažnai efektyvesnis gali būti mišrus operacijų derinimas.

Mišrus operacijų derinimas

Tai plačiai taikoma, kai operacijų trukmė yra nekartotinė. Apdorojamasis produktas perduodamas iš dalies pavienečiui, iš dalies nelygaus dydžio partijomis tokiu būdu, kad procesas kiekvienoje darbo vietoje vyktų be pertraukų.

 

(4.4)

 kur

tm (i,i+1) - trumpiausia iš dviejų gretimų paporiui imamų operacijų.

Mūsų pavyzdyje, lygindami paporiui, gausime šias trumpiausias operacijų trukmes (4.1 lent.):

4.1 lentelė

Trumpiausių operacijų trukmės apskaičiavimas

Operacijos, i ir i+1

Trukmė, min

1 ir 2

3

2 ir 3

3

3 ir 4

5

4 ir 5

5

iš viso

16

Įrašę, reikšmes gausime:

 

Taigi nuo procesų organizavimo būdo gerokai priklauso gamybos ciklo ilgumas. Tai svarbu konkurencijos sąlygomis, kai norima aplenkti konkurentus ir pirmiems pasirodyti rinkoje su nauju gaminiu. Tai svarbu ir tada, kai turima mažai lėšų ir norima išleisti daug produkcijos.

Kai gaminama ne vienas, o keletas ar keliolika sudėtingų produktų, susidedančių iš šimtų atskirų detalių, gamybos proceso organizavimas gali būti labai komplikuotas. Jei yra daug įrengimų grupių, tai reikia įvertinti įrengimų našumų suderinamumą - vieni įrengimai yra labai našūs, kiti mažiau, vienos detalių apdorojimo operacijos yra trumpos, kitos - ilgos. Tada tenka pasitelkti visą inžinierių patyrimą ir specialius matematinius metodus ir modelius, o uždavinių sprendimui — kompiuterius.

Gamybos ciklo trukmė ir lėšų poreikis

Panagrinėkime, kaip pasikeis lėšų pareikalavimas mūsų pavyzdyje priklausomai nuo operacijų derinimo būdo, t. y. nuo ciklo trukmės.

Tarkime, kad visų kitų operacijų (transporto, kontrolės ir pan.) trukmė mažai priklauso nuo technologijos operacijų derinimo būdo, kitaip tariant, yra beveik vienoda, todėl paprastumo dėlei jos nepaisysime (Tikslumo dėlei pažymėsime, kad taip iš tikrųjų nėra).

Sakykime, kad pirkėjas užsakė pagaminti ne 3, o 1000 detalių partiją, kurią visą iš karto, o ne dalimis turime pateikti pirkėjui. Be to, žinome, kad medžiagos vienai detalei ir apdorojimas iš viso kainuoja 10 Lt. Tada 1000 detalių vertė B bus 10 000 Lt. Taigi derinant operacijas ciklų trukmės bus tokios (skaičiuosime pagal (4.2), (4.3) ir (4.4) formules):

  1. nuosekliai 30000 min arba 500 h, arba 63 dienos;
  2. lygiagrečiai 9021 min arba 48 h, arba 6 dienos;
  3. mišriai 14016 min arba 234 h, arba 29 dienos.

Tarkime, kad paprastai mūsų įmonė naudoja mišrų operacijų derinimo būdą. Vadinasi, per 29 dienas bus pagaminta visa detalių partija, ir tam reikės 10000 Lt. Nesunku įsitinkinti, kad lygiagrečiai derinant reikėtų 2069 Lt (10000*6/29), o derinant nuosekliai - 21724 Lt (10000*63/29).

Gaminant sudėtingus produktus, technologijos operacijų trukmė sudaro apie 0,1 viso gamybos ciklo (o esant robotizuotai gamybai - 0,01 viso ciklo), todėl labai svarbu trumpinti visų kitų — sandėliavimo, kontrolės, transporto, konservavimo — operacijų trukmę. Čia dažniausiai slypi didžiausi lėšų poreikio mažinimo rezervai!

Įmonės pajėgumas

Gamybos ciklo ilgis - svarbus gamybos planavimo rodiklis. Marketingo tikslams toks tikslumas nėra būtinas, todėl praktiškai naudojamas visiems suprantamas dydis - gamybos pajėgumas. Gamybos pajėgumas nusako, kiek vienetų tam tikros produkcijos įmonė gali pateikti pardavimui per tam tikrą laikotarpį (paprastai per metus). 

Planinis ir faktiškas pajėgumas

Skaičiavimams dažniausiai vartojami du pajėgumo lygiai: planinis ir faktiškas pajėgumas.

Planinis pajėgumas Qk - tai produkcijos kiekis, kurį galėtume pagaminti, iki galo išnaudodami turimus įrengimus, darbo jėgą ir gerai organizuodami gamybą. Tačiau tai padaryti dažnai nepavyksta - faktiškas pajėgumas būna mažesnis arba lygus planiniam.

Faktiškas pajėgumas Q1 rodo, kiek produkcijos buvo pagaminta tais metais.

Padaliję faktišką pajėgumą iš planinio, gausime pajėgumo panaudojimo koeficientą Kq (4.5 formulė):

  

  (4.5)

Pajėgumo panaudojimo koeficientas leidžia vadovybei spręsti, kokie dar nepanaudoti rezervai ir kaip buvo naudojami įrengimai praėjusiais  metais.

Pajėgumo dydis

Pajėgumas priklauso nuo daugelio veiksnių. Pažymėsime svarbiausius.

Visų pirma - darbininkų ir kitų darbuotojų kvalifikacija ir jų skatinimo sistema, kuri nulemia, kaip bus naudojamos mašinos, įrankiai, medžiagos.

Antrasis veiksnys - tai turimi įrengimai. Kiek jų turime, nauji, našūs ar seni, susidėvėję ir dažnai gendantys.

Trečiasis veiksnys - tai gamybą aptarnaujančių tarnybų (įrankių, transporto, taisymo ir įrengimų priežiūros, sandėlių) veikla.

Visų šių veiksnių bendrąją įtaką galima išreikšti (4.6) formule:

 

 (4.6)

čia M - vienodų įrengimų skaičius;

Fk - įrengimų laiko fondas, mašinų valandomis (maš.val.);

t - produkcijos vieneto mašinų veikimo imlumas, maš.val./vnt.

Aptarsime kiekvieną dydį atskirai.

Įrengimų skaičius

Iš pat pradžių pabrėžtina, kad skaičiavimams imami vienodi įrengimai. Jei įmonėje yra keletas įrengimų grupių, tai skaičiuojama pagal pagrindinę. Per metus gali atsitikti, kad vieni įrengimai bus nurašyti, o kiti pastatyti nauji. Tada įrengimų skaičius metų pabaigoje M1 skaičiuojamas pagal (4.7) formulę:

 

 (4.7)

čia M0 - įrengimų skaičius metų pradžioje;

Mi - naujai pastatytų įrengimų skaičius;

Mn - nurašytų įrengimų skaičius.

Kai planuojamu laikotarpiu keičiasi įrengimų skaičius, tenka vartoti vidurkį.

Vidutinis įrengimų skaičius gaunamas įrengimų skaičių metų pradžioje sudėjus su jų skaičiumi metų pabaigoje ir padalijus iš dviejų.

Įrengimų laiko fondas

Pajėgumo skaičiavimui reikia žinoti įrengimų kalendorinio laiko struktūrą (4.5 pav.).

Kalendorinis fondas apima visą įrengimo darbo ir nedarbo laiką. Vieno įrengimo metų laiko fondas sudarys 8760 maš.val. (365 dienos*24 val.).

Nerežiminis laiko fondas apima poilsio ir švenčių dienas bei reglamentuotas pertraukas (pavyzdžiui, kai per vasaros atostogas įmonė nedirba). Suprantama, kad tas dienas reikia atimti, jei nėra darbininkų.

Planinis laiko fondas apima laiką, nustatytą įmonės darbo grafike. Įmonė gali dirbti viena, dviem ar trimis pamainomis, arba dirbti ne visą pamainą.

Jei pažymėsime F vienos pamainos laiko fondą, o A pamainų skaičių, tai planinį laiko fondą Fk skaičiuosime pagal (4.8) formulę. Pamainų skaičius gali būti sveikas arba trupmeninis, kai dirbama ne visą pamainą:

 

  (4.8)

Planinio taisymo (remonto) laikas skiriamas dėl to, kad būtų užtikrinta saugi įrengimų eksploatacija ir normalūs techniniai parametrai. Šis laikas daugeliui įrengimų yra nedidelis - vos 1 - 2 procentai, nes įrengimų konstrukcija  gana tobula.

 

4.5 pav. Įrengimų kalendorinio laiko fondo struktūra

Faktiškas darbo laikas apima mašininį laiką - laiką, kurio metu vyksta technologinis procesas: keičiamos medžiagos savybės ar forma.

Paruošiamasis, baigiamasis ir pagalbinis laikas parodo, kiek įrengimas nedirba, kai darbininkas tuo metu yra užimtas produkcijos nuėmimu ar žaliavų ar ruošinio įdėjimu, įrengimo derinimu, jo priežiūra. Šios sąnaudos yra neišvengiamos ir būtinos gamybos procese.

Prastovos - tai laikas, kada įrengimas nedirba (nors pagal planą turėjo dirbti) dėl techninių priežasčių (gedimas, nėra elektros energijos) ar dėl organizacinių priežasčių (nėra medžiagų, nepaskirtos užduotys, ką reikia gaminti, darbininkas vėluoja grįžti po pietų pertraukos ir pan.).

Pažymėtina, kad retai darbininko darbo laikas ir įrengimo mašininis laikas yra lygūs.  Dažniausiai jie labai skiriasi.  Pavyzdžiui, siūlome pamatuoti, kiek trunka kavos pupelių sumalimas - šeimininkė tam sugaišta apie porą minučių, mašinėlė veikia tik 20-30 s (mašininis laikas).

Mašinų veikimo (darbo) imlumas

Mašinos veikimo (darbo) imlumas priklauso nuo techninių jos parametrų ir nuo gaminio pobūdžio. Paprastai techniniuose aprašymuose nurodoma, kaip apskaičiuoti darbo imlumą. Darbo imlumas rodo, kiek laiko sugaištama produkcijos vienetui pagaminti ar operacijai atlikti.

Atsargų skirstymas ir planavimas

Atsargų problema sena kaip pasaulis. Tačiau kruopščiai moksliškai analizuoti pradėta tik po Antrojo pasaulinio karo. Atsiradus kompiuteriams, šie pasitelkti atsargų apskaitai ir jų planavimui. Kad gamyba vyktų ritmingai, įmonėje turi būti tam tikrų atsargų. Atsargos yra skirstomos į esančias:

1. Sandėliuose:

  1. Gatavi gaminiai
  2. Prekės, medžiagos, pusfabrikačiai, komplektuojamieji gaminiai

2. Gamyboje:

  1. Darbo vietose
  2. Tarp darbo vietų:
  1. Transporte,
  2. Apyvartoje,
  3. Draustinės,
  4. Kompensacinės,

Panagrinėsime, nuo ko priklauso tų atsargų dydis.

Atsargų dydis priklauso ne vien tik nuo įmonės vadovų norų ir jų sugebėjimų gerai apskaičiuoti. Jų dydis dažnai turi būti ribojamas. Paprastai pasitaiko tokie apribojimai.

  1. Medžiagų ar prekių siunta gali būti tik nustatyto minimalaus ar jam kartotinio dydžio. Tai priklauso nuo transporto priemonių rūšies ir racionalaus jų naudojimo ar nuo tiekėjo gamybos ypatybių ir jo politikos.
  2. Siuntas galima gauti tik iš anksto sutartais terminais.
  3. Pigiau kainuoja užsakyti didesnį kiekį (galima nuolaida).
  4. Negalima neribotą kiekį lėšų atiduoti atsargoms - jų reikia ir kitiems tikslams.
  5. Sandėlių talpa dažnai būna ribota, o jų išplėtimas reikalauja papildomų ir dažnai nemenkų lėšų.
  6. Kai kurios žaliavos, medžiagos ar prekės gali būti saugomos tik ribotą laiką (kol baigsis jų galiojimo terminas).
  7. Kai kurias, ypač žemės ūkio, žaliavas gali tekti pirkti labai dideliais kiekiais (pvz., nuėmus derlių - cukrinius runkelius, linus ir t.t.).

Taigi skaičiavimai nėra paprasti, o vadovybei apsispręsti nelengva. Pačią idėją galima paaiškinti tokiu pavyzdžiu.

Tarkime, kad įmonė per tam tikrą laikotarpį (metus, pusmetį, ketvirtį, mėnesį) sunaudoja Q tonų medžiagų. Jos naudojamos gana tolygiai kiekvieną darbo dieną. Įmonė gali nusipirkti šias medžiagas N kartų S dydžio partijomis:

 

 (4.9)

kur N = 1, 2, ...

Pirkdama medžiagas, įmonė už jų toną moka tą pačią kainą P , tačiau, perkant kiekvieną partiją, padaroma K išlaidų (užsakymui, atvežimui, kiekio ir kokybės kontrolei ir pan.).

Saugodama medžiagas sandėliuose, įmonė irgi patiria tam tikrų sąnaudų M (sandėlių apšildymas, apšvietimas, sandėlininkų ir darbininkų atlyginimai, palūkanos už paskolas ir t.t.).

Kiek kartų reikia pirkti medžiagas, kad visų sąnaudų suma būtų minimali? Dar atsargos paprastai būna skirstomos į einamąsias ir draustines.

Draustinės atsargos apsaugo nuo galimų tiekimo sutrikimų ar didesnio medžiagų suvartojimo gavus papildomų užsakymų ir pan. Draustinės atsargos dydį galima nustatyti surinkus statistinius duomenis. Dažnai neskaičiavus tariama jų esant 0,25-0,3 einamosios atsargos dydžio. Nustatant atsargos vidutinį dydį, daroma prielaida, kad atsargos naudojamos nuolat ir mažėja tolydžiai. Tada vidutinė atsarga bus tokia:

(Atsarga laikotarpio pradžioje + atsarga laikotarpio pabaigoje)/2

Taigi einamosios atsargos vidutinis dydis:

 

 (4.10)

Bendrosios medžiagų įsigijimo sąnaudos:

 

 (4.11)

čia P*Q — medžiagų vertė jų įsigijimo kainomis;

K*N — N partijų įsigijimo išlaidos;

M*Z*T — sandėliavimo išlaidos per T laikotarpį.

Pakeitę, kur galima, į S , gausime, kad:

  

 (4.12)

Apskaičiavę sąnaudų B išvestinę pagal S ir ją prilyginę 0, gautume, kad optimalus einamosios partijos dydis :

 

  (4.13)

o optimalus vidutinis atsargos dydis :

 

 (4.14)

Likučiai sandėliuose

Planuodami pirkimus, turime atsižvelgti į atsargų likučius sandėliuose:

 

 (4.15)